Entries from 2006-05-27 to 1 day

関数型言語の勉強にSICPを読もう - (43) 3章 - 標準部品化力、オブジェクトおよび状態 (167-175ページ)

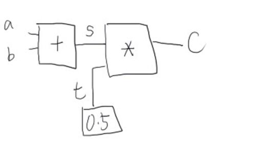
3.3.5 制約の拡散 制約の拡散のポイントは以下の通り。 登場人物は2人 コネクタと制約(constraint) コネクタは1つ以上の制約をリストとして持っている(1つ以上の制約と接続されている)制約は自分が接続しているコネクタの値が変更したときに呼ばれる手続きを…

SICPの解答をのせていただいた

OSS WEB|SICP|ex-3.23うれしい!

STL map/pairあたりではまる

C++

こ絶対正しいとを書いているはずなのにがーっとエラーがでまくった。 ずっと悩んでいたが #include <string>を忘れているだけだった(泣</string>

VnodeCacher

vnodeをlookupするときに使用する VnodeCacher を書いた。 試験実装なので、std::mapで実装。 ついでにテストも書いたのできっとバグもないはず。 明日は ISO9660にlookupを実装して vnode の alloc とかかな。 時間が取れれば。